KHÁI NIỆM VỀ CẦU CHÌ
Trước khi tham khảo Hướng dẫn sử dụng cầu chì chúng ta hãy tìm hiểu các kiến thức cơ bản về cầu chì
Cầu chì là một loại khí cụ điện dùng để bảo vệ thiết bị và lưới điện tránh sự cố ngắn mạch, Cầu chì thường dùng để bảo vệ cho đường dây dẫn, máy biến áp, động cơ điện, thiết bị điện, mạch điện điều khiển, mạch điện thắp sáng. Cầu chì có đặc điểm là khả năng cắt lớn, cấu trúc đơn giản, kích thước nhỏ gọn, giá thành hợp lý nên được ứng dụng rộng rãi.
TÍNH CHẤT VÀ YÊU CẦU CƠ BẢN CỦA CẦU CHÌ
***Tính chất của cầu chì
– Cầu chì có đặc tính làm việc ổn định, không tác động khi có dòng điện mở máy và dòng điện định mức lâu dài đi qua.
– Đặc tính cơ bản của cầu chì là sự phụ thuộc của thời gian chảy đứt với dòng điện chạy qua hay còn gọi là đặc tính A – S (Ampe – giây). Đặc tính A – S của cầu chì phải thấp hơn đặc tính của đối tượng bảo vệ.
***Yêu cầu cơ bản của cầu chì
– Khi có sự cố ngắn mạch, cầu chì tác động phải có tính chọn lọc, tính chọn lọc giúp thiết kế được mạch điện có tính phân cấp như cầu chì bảo vệ nhánh, cầu chì bảo vệ tổng…
– Việc thay thế cầu chì bị cháy phải dễ dàng và tốn ít thời gian.
CẤU TẠO VÀ NGUYÊN LÝ HOẠT ĐỘNG
***Cấu tạo cầu chì bao gồm các thành phần sau
+ Phần tử ngắt mạch: Đây chính là thành phần quan trọng nhất của cầu chì, phần tử này có khả năng cảm nhận được giá trị hiệu dụng dòng điện qua nó và có giá trị điện trở suất bé (thường bằng bạc, đồng hay các vật liệu dẫn điện có giá trị điện trở suất nhỏ lân cận với các giá trị nêu trên…). Hình dạng của phần tử có thể là một dây dẫn (tiết diện tròn) hay dạng băng mỏng.
+ Thân của cầu chì: thường bằng thuỷ tinh, ceramic (gốm) hay các vật liệu khác tương đương. Vật liệu tạo thành thân của cầu chì phải đảm bảo được hai tính chất:
– Có độ bền cơ khí cao.
– Có độ bền về điều kiện dẫn nhiệt và chịu đựng được các sự thay đổi nhiệt độ đột ngột mà không hư hỏng.
Hình ảnh cấu tạo một loại cầu chì bán dẫn cắt nhanh của Bussmann
+ Vật liệu lấp đầy (bao bọc quanh phần tử ngắt mạch trong thân cầu chì): thường bằng vật liệu Silicat ở dạng hạt, có khả năng hấp thụ được năng lượng sinh ra do hồ quang và đảm bảo tính cách điện khi xảy ra hiện tượng ngắt mạch.
+ Các đấu nối: các thành phần này dùng định vị cố định cầu chì trên các thiết bị đóng ngắt mạch; đồng thởi phải đảm bảo tính tiếp xúc điện tốt.
Hình ảnh cầu chì bán dẫn cắt nhanh của Bussmann trên bộ nguồn công nghiệp
*** Nguyên lý hoạt động
Đặc tính cơ bản của cầu chì là sự phụ thuộc của thời gian chảy đứt với dòng điện chạy qua (đặc tính Ampe – giây). Để có tác dụng bảo vệ, đường Ampe – giây của cầu chì tại mọi điểm phải thấp hơn đặc tính của đối tượng cần bảo vệ.
+ Đối với dòng điện định mức của cầu chì: Năng lượng sinh ra do hiệu ứng Joule khi có dòng điện định mức chạy qua sẽ toả ra môi trường và không gây nên sự nóng chảy, sự cân bằng nhiệt sẽ được thiết lập ở một giá trị mà không gây sự già hoá hay phá hỏng bất cứ phần tử nào của cầu chì.
+ Đối với dòng điện ngắn mạch của cầu chì: sự cân bằng trên cầu chì bị
phá vỡ, nhiệt năng trên cầu chì tăng cao và dẫn đến sự phá huỷ cầu chì. Người ta phân thành hai giai đoạn khi xảy ra sự phá huỷ cầu chì:
– Quá trình tiền hồ quang (tp).
– Quá trình sinh ra hồ quang (ta).
Đặc tính Ampe-giây của cầu chì
** Quá trình tiền hồ quang: giả sử tại thời điểm t0 phát sinh sự quá dòng, trong khoảng thời gian tp làm nóng chảy cầu chì và phát sinh ra hồ quang điện. Khoảng thời gian này phụ thuộc vào giá trị dòng điện tạo nên do sự cố và sự cảm biến của cầu chì.
** Quá trình phát sinh hồ quang: tại thời điểm tp hồ quang sinh ra cho đến thời điểm tt mới dập tắt toàn bộ hồ quang. Trong suốt quá trình này, năng lượng sinh ra do hồ quang làm nóng chảy các chất làm đầy tại môi trường hồ quang sinh ra; điện áp ở hai đầu cầu chì hồi phục lại, mạch điện được ngắt ra.
TÍNH CHỌN CẦU CHÌ:
– Dây chảy cầu chì không chảy khi có dòng điện mở máy động cơ chạy qua.
– Cầu chì phải cắt có tính chất chọn lọc, nghĩa là thiết bị điện nào bị ngắn mạch, chỉ cầu chì bảo vệ thiết bị đó cháy, cầu chì bảo vệ đường dây chính, cung cấp cho nhiều thiết bị vẫn không bị cháy.
*** Công thức tính chọn chung:
Để thỏa mạn điều kiện thứ nhất, dòng điện định mức dây chảy cầu chì Icc phải chọn lớn hoặc bằng dòng điện làm việc lâu dài Ilv của thiết bị điện, hoặc đường dây mà cầu chì bảo vệ:
Icc>Ilv (5.5)
Kinh nghiệm thấy rằng, nếu dùng điện mở máy Imở các động cơ không quá 2,5 lần dòng điện định mức, thì dây chảy cầu chì chỉ cần chọn theo điều kiện làm việc lâu dài theo (5.5) mà không cần kể đến dòng điện mở máy động cơ vì dòng điện mở máy ở điều kiện đó chưa kịp làm cháy dây chảy.
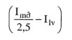
*** Công thức tính chọn cho động cơ lồng sóc:
Nhưng nếu động cơ có đòng điện mở máy Imở lớn hơn 2,5 lần dòng điện định mức, để cho cầu chì không cháy khi mở máy động cơ, thì dòng điện định mức dây chảy cầu chì phải chọn sao cho thỏa mãn điều kiện.
Khi chọn cầu chì bảo vệ các động cơ lồng sóc có dòng điện mở máy lớn, ta phải chọn dây chảy cầu chì có dòng điện định mức thỏa mãn hai điều kiện (5.5) và (5.6).
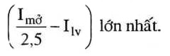
*** Công thức tính chọn cho nhiều động cơ lồng sóc:
Nếu cầu chì bảo vệ đường dây cung cấp cho nhiều động cơ có dòng điện mở máy lớn. Dòng điện mở máy của đường dây sẽ tính trong trường hợp động cơ có hiệu số
Khi động cơ lớn nhất đang mở máy, còn các động cơ khác đang làm việc. Lúc đó, dòng điện định mức dây chảy cầu chì ngoài việc thỏa mãn điều kiện (5.5) còn phải thỏa mãn điều kiện (5.7):
trong đó Ilv là dòng điện làm việc của đường dây khi tất cả các động cơ mà đường dây cung cấp đang làm việc, trừ động cơ mở máy; Imở là dòng điện mở máy của động cơ đó
Để đảm bảo tính chất cắt chọn lọc của cầu chì, ta phải chọn cầu chì bảo vệ mạch đường dây chính có dòng điện định mức lớn hơn cầu chì bảo vệ mạch nhánh ít nhất là một cấp tính theo giá trị dòng điện định mức của cầu chì.
Dòng điện định mức của dây chảy cầu chì sản xuất theo tiêu chuẩn chế tạo của các nhà máy thông thường là: 2, 4, 6, 10, 15, 20, 25, 35, 60, 80, 100, 125, 160, 190, 225, 260, 300, 350, 400A…
KẾT LUẬN
Cầu chì là thiết bị bảo vệ đơn giản nhưng đóng vai trò then chốt trong hệ thống điện, giúp ngăn chặn hư hỏng và đảm bảo an toàn cho thiết bị cũng như con người. Việc hiểu rõ cấu tạo, nguyên lý hoạt động và lựa chọn đúng loại cầu chì không chỉ kéo dài tuổi thọ thiết bị mà còn nâng cao độ tin cậy cho toàn bộ hệ thống điện. Lựa chọn đúng – lắp đặt chuẩn – kiểm tra định kỳ chính là chìa khóa để cầu chì phát huy hiệu quả tối đa.
MỘT SỐ HÌNH ẢNH VỀ CẦU CHÌ BUSSMANN
THÔNG TIN THAM KHẢO VỀ CẦU CHÌ BUSSMANN
Quý khách vui lòng tham khảo một số loại cầu chì tại:
https://tth-automation.com/danh-muc/cau-chi-bussmann.html
hoặc tham khảo các hình ảnh về cầu chì trên Fanpage của TTH Automation
https://www.youtube.com/@TTHAutomation













